Subscribe to our ▢️ YouTube channel πŸ”΄ for the latest videos, updates, and tips.

Conversion of Fractions into Fractions having Same Denominator

In conversion of fractions into fractions having same denominator are explained here in this topic. Let there be two fractions 3/4 and 2/3. They may be changed into fractions having the same denominator.

For the purpose of having the same denominator, the numerators and denominators of the given fractions are multiplied by the common multiple of the given denominators.Here the common multiple of 4 and 3 is 12.

Hence,                 3/4                        and                    2/3

Conversion of Fractions into Fractions having Same Denominator

                         9/12                       and                    8/12


So, 3/4 and 2/3 = 9/12 and 8/12

Examples on conversion of fractions into fractions having same denominator:


1. Convert 3/4 and 5/6 into fractions having the same denominator.

Solution:

The common multiple of 4 and 6 is 12

as 4 = 2 x 2 and 6 = 2 x 3

Therefore, common multiple will be 2 x 2 x 3 = 12

                           3/4                       and                    5/6

Examples on Conversion of Fractions

                         9/12                      and                    10/12


2. Change the fraction 2/5 into fraction having 25 as denominator.

Solution:

2/5

Examples on Conversion of Fractions





= 10/25


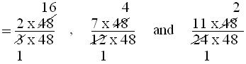
3. Change the fractions 2/3, 7/12 and 11/24 into fractions having the denominator 48.

Solution:

2/3, 7/12 and 11/24           β‡’    2 x 48/3 x 48, 7 x 48/12 x 48 and 11 x 48/24 x 48

Examples on Conversion of Fractions

                                          =   32/48,             28/48          and      22/48

Related Concept

● Fraction of a Whole Numbers

● Representation of a Fraction

● Equivalent Fractions

● Properties of Equivalent Fractions

● Like and Unlike Fractions

● Comparison of Like Fractions

● Comparison of Fractions having the same Numerator

● Types of Fractions

● Changing Fractions

● Conversion of Fractions into Fractions having Same Denominator

● Conversion of a Fraction into its Smallest and Simplest Form

● Addition of Fractions having the Same Denominator

● Subtraction of Fractions having the Same Denominator

● Addition and Subtraction of Fractions on the Fraction Number Line







4th Grade Math Activities

From Conversion of Fractions into Fractions having Same Denominator to HOME PAGE


Didn't find what you were looking for? Or want to know more information about Math Only Math. Use this Google Search to find what you need.



New! Comments

Have your say about what you just read! Leave me a comment in the box below. Ask a Question or Answer a Question.




Share this page: What’s this?