Subscribe to our ▶️ YouTube channel 🔴 for the latest videos, updates, and tips.
In multiplication of fractions to multiply a fraction by one or more natural numbers or fractions, proceed as follows:
(i) Convert the natural numbers (if any) to improper fractions.
(ii) Convert the mixed numbers (if any) to improper fractions.
(iii) Multiply numerator with numerator and denominator with denominator and cancel the common factors of the numerator and denominator and place the product of the numerator over the denominator.
(iv) Convert into mixed fraction if needed.
Product of two fractions = Product of their numerators
Product of their denominators
[Place the product of the numerators over the product of the denominators]
i.e., a/b × c/d = (a × c)/(b × d)
1. Multiply the numerators of the fractions (the top numbers).
2. Multiply the denominators of the fractions (the bottom numbers).
3. Simplify the fraction if needed to the lowest terms.
For example:
(i) 3/7 × 4/5
= (3 × 4)/(7 × 5)
= 12/35
(ii) 7/3 × 5/2
= (7 × 5)/(3 × 2)
= 35/6
(iii) 5 × 3/7
= 5/1 × 3/7
= (5 × 3)/(1 × 7)
= 15/7
(iv) 5/12 × 9
= 5/12 × 9/1
= (5 × 9)/(12 × 1)

= (5 × 3)/(4 × 1)
= 15/4
Sometimes for indicating multiplication of two fractions, we use the word ‘of ‘as follows:
(i) 1/2 of 8
= 1/2 × 8
= 1/2 × 8/1
= (1 × 8)/(2 × 1)
= 8/2
= 4
(ii) 1/5 of 20
= 1/5 × 20
= 1/5 × 20/1
= 20/5
= 4
(iii) 2/5 of 25
= 2/5 × 25
= 2/5 × 25/1
= (2 × 25)/(5 × 1)
= 50/5
= 10
(iv) 2/3 of 5/7
= 2/3 × 5/7
= (2 ×5)/(3 × 7)
= 10/21.
1. Multiply the fractions:
(i) 2/9 by 4/5
(ii) 3/5 by 12
(iii) 2¹/₃ by 2/5
(iv) 5³/₄ by 2³/₇
(i) 2/9 by 4/5
= 2/9 × 4/5
= (2 × 4)/(9 × 5)
= 8/45
(ii) 3/5 by 12
= 3/5 × 12
= 3/5 × 12/1
= (3 × 12)/(5 × 1)
= 36/5
= 7¹/₅
(iii) 2¹/₃ by 2/5
= 2¹/₃ × 2/5
= 7/3 × 2/5
= (7 × 2)/(3 × 5)
= 14/15
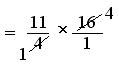
(iv) 5³/₄ by 2³/₇
= 5³/₄ × 2³/₇
= 23/4 × 17/7
= (23 × 17)/(4 × 7)
= 391/28
= 13²⁷/₂₈
2. Multiply and reduce to lowest form (if possible) :
(i) 2/5 × 5/4
(ii) 1/3 × 15/8
(iii) 4/5 × 12/7
(iv) 15/16 × 10/12
Solution:
(i) 2/3 × 5/4
= (2 × 5)/(3 × 4)

= (1 × 5)/(3 × 2)
= 5/6
(ii) 1/3 × 15/8
= (1 × 15)/(3 × 8)

= (1 × 5)/(1 × 8)
= 5/8
(iii) 4/5 × 12/7
= (4 × 12)/(5 × 7)
= 48/35
= 1¹³/₃₅
(iv) 15/16 × 10/12
= (15 × 10)/(16 × 12)

= (5 × 5)/(8 × 4)
= 25/32
3. Simplify the fractions:
(i) 5 × 3/20 × 2/15
(ii) 14/25 × 35/51 × 34/49
(i) 5 × 3/20 × 2/15
Solution:
5 × 3/20 × 2/15
= 5/1 × 3/20 × 2/15
= (5 × 3 × 2)/(1 × 20 × 15)

= 1/(2 × 5)
= 1/10
(ii) 14/25 × 35/51 × 34/49
Solution:
14/25 × 35/51 × 34/49
= (14 × 35 × 34)/(25 × 51 × 49)

= (2 × 1 × 2)/(5 × 3 × 1)
= 4/15
4. Which is greater? 2/7 of 3/4 or, 3/5 of 5/8.
Solution:
2/7 of 3/4
= 2/7 × 3/4
= (2 × 3)/(7 × 4)

= (1 × 3)/(7 × 2)
= 3/14
and,
3/5 of 5/8
= 3/5 × 5/8
= (3 × 5)/(5 × 8)

= (3 × 1)/(1 × 8)
= 3/8
In order to compare these fractions, we convert them into equivalent fractions having same denominator equal to the LCM of 14 and 18.
LCM of 14 and 18 = 2 × 7 × 4 = 56
Therefore, 3/14
= (3 × 4)/(14 × 4)
= 12/56
and
3/8
= (3 × 7)/(8 × 7)
= 21/56
In numerator we clearly see i.e., 21 > 12
Therefore, 21/56 > 12/56 ⇒ 3/8 > 3/14
Hence, 3/5 of 5/8 is greater than 2/7 of 3/4.
5. Find:
(i) 3/5 of a dollar
(ii) 3/4 of a year
(iii) 2/3 of a day
(iv) 5/8 of a kilogram
(v) 2/3 of an hour
(vi) 7/25 of a litre
Solution:
(i) 1 dollar = 100 cents
Therefore, 3/5 of a dollar = 3/5 of 100 cents
Now, 3/5 of 100 = 3/5 × 100
= 3/5 × 100/1
= (3 × 100)/(5 × 1)

= (3 × 20)/(1 × 1)
= 60
Therefore, 3/5 of a dollar = 60 cents.
(ii) 1 year= 12 months
Therefore, 3/4 of a year = 3/4 of 12 months
Now, 3/4 of 12 = 3/4 ×12
= (3 × 12)/(4 × 1)

= (3 × 3)/(1 × 1) = 9
Therefore, 3/4 of a year = 9 months
(iii) 2/3 of a day
1 day = 24 hours
Therefore, 2/3 of a day = 2/3 of 24 hours
Now, 2/3 of 24
= 2/3 ×24
= 2/3 × 24/1
= (2 × 24)/(3 × 1)

= (2 × 8)/(1 × 1)
= 16
Therefore, 2/3 of a day = 16 hours
(iv) 5/8 of a kilogram
1 kilogram = 1000 grams
Therefore, 5/8 of a kilogram = 5/8 of 1000 grams = (5/8 × 1000) grams
Now, 5/8 × 1000 = 5/8 × 1000/1
= (5 × 1000)/(8 × 1)

= (5 × 125)/(1 × 1)
= 625
Therefore, 5/8 of a kilogram = 625 grams
(v) 2/3 of an hour
1 hour = 60 minutes
Therefore, 2/3 of an hour = (2/3 × 60) minutes
Now, 2/3 × 60
= 2/3 × 60/1
= (2 × 60)/(3 × 1)

= (2 × 20)/(1 × 1)
= 40
Therefore, 2/3 of an hour = 40 minutes
(vi) 7/25 of a litre
1 litre = 1000 ml
Therefore, 7/25 of a litre = (7/25 × 1000) ml
Now, 7/25 × l000 = 7/25 × 1000/1
= (7 × 1000)/(25 × 1)

= 7 × 40
= 280
Therefore, 7/25 of a litre = 280 ml.
In multiplying fractions word problems can arise in different situations. We will show you in details some examples step by step.
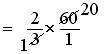
1. Sugar is sold at $ 17³/₄ per kg. Find the cost of 8¹/₂ kg of a sugar.
Solution:
Cost of 1kg of sugar = $ 17³/₄ = $ 71/4
Therefore, cost of 8¹/₂ kg of sugar = $ (71/4 × 8¹/₂)
= $ (71/4 × 17/2)
= $ (71 × 17)/(4 × 2)
= $ (1207/8)
= $ 150⁷/₈
Hence, the cost of 8¹/₂ kg of sugar is $ 150⁷/₈.
2. A car runs 16 km using 1 litre of petrol car. How much distance will it cover using 2³/₄ litres of petrol?
Solution:
In 1 litre, car runs 16 km
Therefore, in 2³/₄ litres of petrol car will travel = 2³/₄ × 16 km
= 11/4 × 16/1 km

= (11 × 4) km
= 44 km
Hence, car travels 44 km in 2³/₄ litres of petrol.
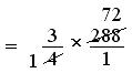
3. Shelly has read 3/4 of a book consisting of 288 pages. How many pages are still left?
Solution:
Total number of pages in the book = 288
Number of pages read by Shelly = 3/4 of 288
= 3/4 × 288
= 3/4 × 288/1

= 3 × 72 = 216
Therefore, number of pages left = (288 - 216) = 72
4. A rectangular park is 20³/₄ m long and 15¹/₂ m wide. What is the area of the park?
Solution:
Length of the park = 20³/₄ m = 83/4 m,
Width of the park = 15¹/₂ m = 31/2 m
Therefore, area of the park = Length × Width
= 83/4 × 31/2 m²
= (83 × 31)/(4 × 2) m²
= 2573/8 m²
= 321⁵/₈ m²
5. Find the area of a square field if its each side is 10³/₄ m long.
Solution:
Length of the square field = 10³/₄ m = 43/4 m.
Breadth of the square field = 10 3/4 m = 43/4 m.
Therefore, area of the square field = Length × Breadth
= 43/4 × 43/4 m²
= (43 × 43)/(4 × 4) m²
= 1849/16 m²
= 115⁹/₁₆ m²
6. Pamela spends 3/5 of her income on household expenses and 1/7 of her income on personal expenses. If her monthly income is $ 35000, find her monthly savings.
Solution:
Pamela’s total monthly income = $ 35000.
Monthly expenditure = 3/5 of $ 35000 + 1/7 of $ 35000
= $ (3/5 × 35O00) + $ (1/7 × 35000)
= $ (3/5 × 35000/1) + $ (1/7 × 35000/1)
= $ (3 × 35000)/(5×1) + $ (1 × 35000)/(7 × 1)
= $ (3 × 7000) + $ (1 × 5000)
= $ 21000 + $ 5000
= $ (21000 + 5000)
= $ 26000
Therefore, monthly savings = $ (35000—26000) = $ 9000
7. A carton contains 40 boxes of nails and each box weighs 3³/₄ kg. How much would a carton of nails weigh?
Solution:
Weight of 1 box = 3³/₄ = 15/4 kg
Therefore, weight of 40 boxes = (15/4 × 40) kg
= (15/4 × 40/1) kg
= (15 × 40)/(4 × 1) kg
= 150 kg
Hence, weight of the carton is 150 kg.
● Fractions
Addition and Subtraction of Fractions
● Fractions - Worksheets
Worksheet on Multiplication of Fractions
Worksheet on Division of Fractions
7th Grade Math Problems
From Multiplication of Fractions to HOME PAGE
Didn't find what you were looking for? Or want to know more information about Math Only Math. Use this Google Search to find what you need.
New! Comments
Have your say about what you just read! Leave me a comment in the box below. Ask a Question or Answer a Question.